Android/Tablet
Android/Tablet下载
iphone/ipad
iphone/ipad下载
Mac
Mac下载
Windows
Windows下载
Web
在线Web版本

分类

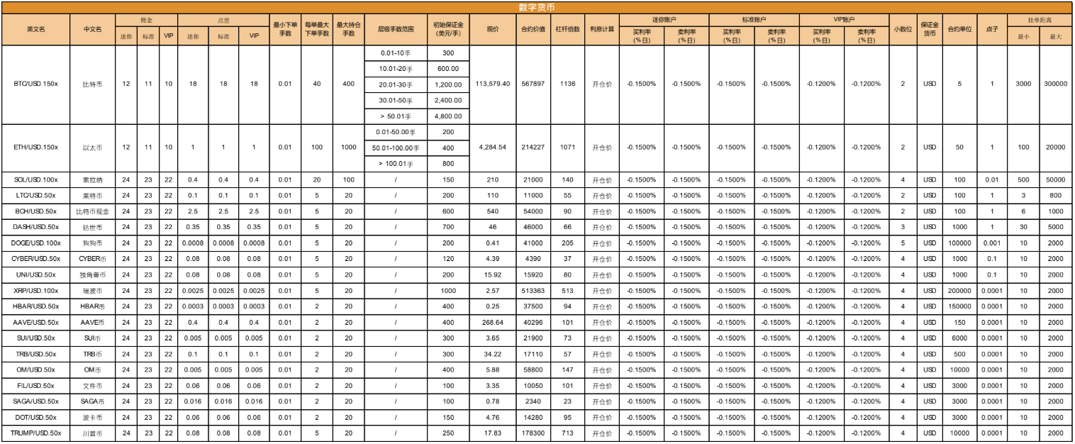
数字货币



×